[백준] Baekjoon Online Judge
문제
이진 트리를 입력받아 전위 순회(preorder traversal), 중위 순회(inorder traversal), 후위 순회(postorder traversal)한 결과를 출력하는 프로그램을 작성하시오.

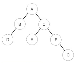
예를 들어 위와 같은 이진 트리가 입력되면,
- 전위 순회한 결과 : ABDCEFG // (루트) (왼쪽 자식) (오른쪽 자식)
- 중위 순회한 결과 : DBAECFG // (왼쪽 자식) (루트) (오른쪽 자식)
- 후위 순회한 결과 : DBEGFCA // (왼쪽 자식) (오른쪽 자식) (루트)
가 된다.
입력
첫째 줄에는 이진 트리의 노드의 개수 N(1 ≤ N ≤ 26)이 주어진다. 둘째 줄부터 N개의 줄에 걸쳐 각 노드와 그의 왼쪽 자식 노드, 오른쪽 자식 노드가 주어진다. 노드의 이름은 A부터 차례대로 알파벳 대문자로 매겨지며, 항상 A가 루트 노드가 된다. 자식 노드가 없는 경우에는 .으로 표현한다.
출력
첫째 줄에 전위 순회, 둘째 줄에 중위 순회, 셋째 줄에 후위 순회한 결과를 출력한다. 각 줄에 N개의 알파벳을 공백 없이 출력하면 된다.
풀이
#include <iostream>
using namespace std;
int N;
char tree[26][2];
string pr, in, po;
void order(int n);
void order(int n) {
if (n < 0 || n >= N) return;
pr += (char)('A' + n);
order(tree[n][0] - 'A');
in += (char)('A' + n);
order(tree[n][1] - 'A');
po += (char)('A' + n);
}
int main()
{
cin >> N;
for (int i = 0; i < N; i++) {
char c;
cin >> c;
cin >> tree[c - 'A'][0] >> tree[c - 'A'][1];
}
order(0);
cout << pr << '\n' << in << '\n' << po << '\n';
return 0;
}
전위 순회
void preorder(int n) {
if (n < 0 || n >= N) return;
cout << (char)('A' + n);
preorder(tree[n][0] - 'A');
preorder(tree[n][1] - 'A');
}
중위 순회
void inorder(int n) {
if (n < 0 || n >= N) return;
inorder(tree[n][0] - 'A');
cout << (char)('A' + n);
inorder(tree[n][1] - 'A');
}
후위 순회
void postorder(int n) {
if (n < 0 || n >= N) return;
postorder(tree[n][0] - 'A');
postorder(tree[n][1] - 'A');
cout << (char)('A' + n);
}
처음에는 위의 3개 함수를 모두 구현해서 사용하는 방식으로 문제를 풀었으나 함수들을 보니 3개의 함수를 합칠 수 있겠다는 생각이 들었다. 그래서 3개의 순회에 대한 함수를 합쳐서 하나로 함수로 만들었다.
'백준 > C++' 카테고리의 다른 글
| [Baekjoon/C++] 15686번 - 치킨 배달 (1) | 2023.09.30 |
|---|---|
| [Baekjoon/C++] 12865번 - 평범한 배낭 (0) | 2023.09.29 |
| [Baekjoon/C++] 9465번 - 스티커 (0) | 2023.09.22 |
| [Baekjoon/C++] 11660번 - 구간 합 구하기 5 (0) | 2023.09.20 |
| [Baekjoon/C++] 1629번 - 곱셈 (0) | 2023.09.19 |
